ford 60 serpentine belt diagram

[DIAGRAM] Dodge 5 7 Hemi Serpentine Belt Diagram FULL Version HD. 16 Pics about [DIAGRAM] Dodge 5 7 Hemi Serpentine Belt Diagram FULL Version HD : Dd15 Belt Diagram, belt diagram serpentine ford Questions & Answers (with Pictures) - Fixya and also Serpentine Belt Diagram - Ford Truck Enthusiasts Forums.

[DIAGRAM] Dodge 5 7 Hemi Serpentine Belt Diagram FULL Version HD

[DIAGRAM] Dodge 5 7 Hemi Serpentine Belt Diagram FULL Version HD geinokaigi.xyz

hemi dodge routing drivebelt

Serpentine Belt Diagram??? 2002 7.3 - Ford Truck Enthusiasts Forums

serpentine belt diagram??? 2002 7.3 - Ford Truck Enthusiasts Forums www.ford-trucks.com

belt ford ac pulley compressor serpentine diagram 2002 f250 dual air diesel 2001 3l alternator engine tensioner turbo v8 powerstroke

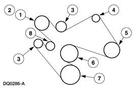
Dd15 Belt Diagram

Dd15 Belt Diagram diagramweb.net

belt diagram dd15 serpentine 1994 suburban routing diagrams gmc timing diagramweb

31 Ford 73 Diesel Serpentine Belt Diagram - Worksheet Cloud

31 Ford 73 Diesel Serpentine Belt Diagram - Worksheet Cloud worksheetscloud.blogspot.com

serpentine

33 60 Powerstroke Dual Alternator Belt Diagram - Wiring Diagram Ideas

33 60 Powerstroke Dual Alternator Belt Diagram - Wiring Diagram Ideas hotelatsacramento.blogspot.com

powerstroke vortec triple

Longer Serpentine Belts..... - Ford Truck Enthusiasts Forums

Longer serpentine belts..... - Ford Truck Enthusiasts Forums www.ford-trucks.com

serpentine

Serpentine Belt Diagram - Ford Truck Enthusiasts Forums

Serpentine Belt Diagram - Ford Truck Enthusiasts Forums www.ford-trucks.com

belt ford serpentine diagram tensioner 2003 engine 2004 2008 taurus impala chevy serp diesel 2007 location 2009 6l forums change

How I Replace A Serpentine Belt On A 96 Dodge Stratus And Where Can I

How I replace a serpentine belt on a 96 dodge stratus and where can I www.justanswer.com

belt dodge stratus serpentine cylender broke 2007 tighten

Serpentine Belt Upgrade - Ford Truck Enthusiasts Forums

Serpentine Belt Upgrade - Ford Truck Enthusiasts Forums www.ford-trucks.com

engine belt serpentine f150 1986 replacement ford explorer crown truck vic ranger pump rotation efi diagrams upgrade direction compressor appears

Serpentine Belt Route??? - Ford Truck Enthusiasts Forums

Serpentine belt route??? - Ford Truck Enthusiasts Forums www.ford-trucks.com

belt serpentine ford route f350 2007 truck

2006 Ford Taurus Serpentine Belt Diagram - Wiring Site Resource

2006 Ford Taurus Serpentine Belt Diagram - Wiring Site Resource wiringdatabaseinfo.blogspot.com

serpentine toyskids

2005 Ford Taurus Engine Diagram : 2006 Ford Taurus Engine Diagram

2005 Ford Taurus Engine Diagram : 2006 Ford Taurus Engine Diagram silvannaaaaa.blogspot.com

cavalier

Serpentine Belt Replacement On Ford Expedition 1998 4.6 V8 - Fixya

Serpentine belt replacement on ford expedition 1998 4.6 v8 - Fixya www.fixya.com

belt ford serpentine expedition 1998 replacement diagram justanswer v8 engine change fixya ctfordtech ww2 2009 heres

Belt Diagram Serpentine Ford Questions & Answers (with Pictures) - Fixya

belt diagram serpentine ford Questions & Answers (with Pictures) - Fixya www.fixya.com

serpentine routing fixya pickup squeak

Serpentine Belt Routing - Ford Truck Enthusiasts Forums

serpentine belt routing - Ford Truck Enthusiasts Forums www.ford-trucks.com

routing i48 pulley

Wiring Diagram: 31 Volvo S60 Serpentine Belt Routing Diagram

Wiring Diagram: 31 Volvo S60 Serpentine Belt Routing Diagram melissappos.blogspot.com

serpentine shroud

Belt diagram dd15 serpentine 1994 suburban routing diagrams gmc timing diagramweb. 2005 ford taurus engine diagram : 2006 ford taurus engine diagram. Engine belt serpentine f150 1986 replacement ford explorer crown truck vic ranger pump rotation efi diagrams upgrade direction compressor appears